Brick & Allied Craft Union

Local 1

Since 1881

Benefits

Local 1 Hamilton - Niagara provides our members with an excellent Health & Welfare Benefits Package. Local 1 Hamilton - Niagara also offers a group RRSP contribution that you control, as well as a fully funded Pension that pays out one of the highest returns in Canada and the United States.

Local 1 has the luxury of being self administered. We have a Benefit Specialist, Donna, who members and spouses can contact in person or call the benefit office at 905-528-2092 between 8am - 2pm, or email dj.bacul@bellnet.ca for assistance with any questions or concerns regarding benefit coverage or claims submitted as we have direct contact with our insurance providers.

Coverage is as follows:

  • NexgenRx- Prescriptions/Dental/Vision Care/Emergency Out of Country/Province.

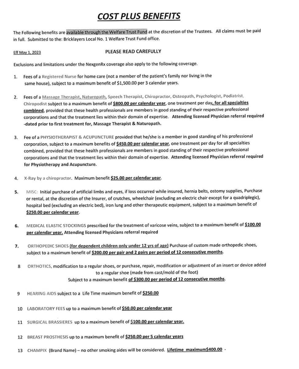
  • Cost Plus: Extended Health - Ambulance, Physiotherapy, Chiropractor, Massage Therapy etc...

  • Membershealth: Access to a doctor, specialist or therapist via zoom or phone, 24 hours, 7 days a week.

  • Industrial Alliance: Life Insurance. Accidental Death & Dismemberment, Short Term & Long Term Disability

Downloadable Forms

Right click to download the form you need

Health Forms

NexgenRx Active Booklet
Stacks Image 262
Cost Plus
Stacks Image 275
Members Health Booklet
Stacks Image 225
iA LTD & Life Insurance AD&D
Stacks Image 249

Scholarship Program

Local 1 Hamilton - Niagara also participates in a scholarship program that will provide members daughters and sons a scholarship of $1500.00 per year for a maximum of 4 years attending post secondary school full time

Right click to download

BACU Scholarship Application '24/25
Stacks Image 535

Industry Partners

B.A.C.U.

Central Ontario Building Trades

Global Benefits

Masonry Industry Employers Council of Ontario

Ministry of Training Colleges and University’s

Terrazzo, Tile & Marble Guild of Ontario

Terrazzo, Tile & Marble Trade School